Наиболее важные научные результаты
1. В последние несколько лет в лаборатории РСЭ активно развиваются исследования, связанные с поиском магнитоэлектрических мультиферроиков. В рамках этой тематики разработаны раствор-расплавные технологии выращивания высококачественных тригональных монокристаллов замещенных редкоземельных ферро- и алюмоборатов Re11-xRe2xFe3(BO3)4, Re11-xRe2xAl3(BO3)4 Предложены новые растворы-расплавы на основе тримолибдата висмута для выращивании монокристаллов редкоземельных ферроборатов со структурой хантита. По разработанным методикам выращены высококачественные монокристаллы, с использованием которых выполнен ряд приоритетных исследований по изучению магнитного и электрического упорядочения [1-2].
![]() |
![]() |
Кристаллы SmFe3(BO3)4 | Кристаллы TmAl3(BO3)4. |
2. В монокристаллах NdFe3(BO3)4 обнаружено существование длиннопериодической геликоидальной структуры при температурах от 5 до 13,5К [3,4].
3. В редкоземельных ферроборатах RFe3(BO3)4 (R = Y, Pr ÷ Er) при температурах ниже температуры антиферромагнитного упорядочения TN = 30 - 40 К, обнаружено возникновение спонтанной электрической поляризации [5-7].
4. К наиболее важным результатам исследования боратов RM3(BO3)4 стоит отнести недавнее обнаружение в алюмоборате HoAl3(BO3)4 гигантского магнитоэлектрического эффекта [8]. Рекордная для немагнитных соединений электрическая поляризация HoAl3(BO3)4 в поле 9 Тл достигает DPаb(Bb) ≈ 5400 мкКл/м2 при Т = 3 К [9].
![]() |
![]() |
Рис.1 Температурно-полевые зависимости поперечной магнитоэлектрической поляризации для (a) HoAl3(BO3)4 и (b) HoGa3(BO3)4. |
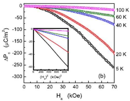
В сотрудничестве с Центром сверхпроводимости (Хьюстон, США) проведено комплексное изучение магнитных, магнитострикционных свойств и индуцированной внешним магнитным полем электрической поляризации легкоплоскостного парамагнетика TmAl3(BO3)4 [10]. Обнаружено, что его магнитоэлектрическая поляризация превышает поляризацию многих магнитоупорядоченных мультиферроиков, например Ni3V2O8 (Pmax = 170 μC/m2), CuCrO2 (Pmax = 120 μC/m2).
![]() |
![]() |
Рис.2 (а) Продольная и (b) поперечная электрические поляризации тригонального TmAl3(BO3)4, индуцируемые внешним магнитным полем, направленным вдоль а-оси. Вставки демонстрируют квадратичную зависимость поляризации от поля. |
Этот результат впервые указывает на серьёзный потенциал редкоземельных алюмоборатов как магнитоэлектрических мультиферроиков и одновременно важен для понимания микромеханизмов ферроэлектричества и магнитоэлектрической поляризации антиферромагнитных мультиферроиков RFe3(BO3)4.
Для кристаллов SmFe3(BO3)4 [11] и HoAl3(BO3)4[12] проведен теоретический анализ и создана модель, хорошо описывающая поведение магнитной системы алюмо- и ферроборатов.
5. Впервые экспериментально зафиксировано изменение намагниченности монокристалла SmFe3(BO3)4, вызванное приложением переменного электрического поля. Как показали измерения, намагниченность осциллирует не только с частотой прикладываемого электрического поля, но и с удвоенной частотой. Измерены зависимости магнитоэлектрического эффекта от магнитного и электрического полей и температуры [13].
![]() |
![]() |
Рис.3 Зависимость ΔM’yx(Ex, Hy) (a) и ΔM’xx(Ex, Hx) (b) при T=4.2 K. Кружками обозначены экспериментальные данные, а треугольниками точки, полученные линейной аппроксимацией. |
6. В замещенных монокристаллах Nd1-xDyxFe3(BO3)4 = (1-x) NdFe3(BO3)4 + x DyFe3(BO3)4 конкуренция анизотропий первой легкоплоскостной (перпендикулярной оси с) и второй легкоосной (║с) подсистем порождает новые фазовые состояния [14,15]. Для монокристалла Nd0,75Dy0,25Fe3(BO3)4 во внешнем поле Н║с границы фаз, выделенные по (Н-Т) аномалиям скорости и затухания акустических волн, показаны на рис.3. Прежде всего, отметим появление спонтанных (Н=0) переходов при Т1 = 16К и Т2 = 24К. Для обоих переходов характерна перестройка магнитной структуры, а в окрестности второго из них, связанного с переориентацией спинов Nd3+ и Fe3+ от оси с в плоскость, перпендикулярную оси с, возникает ферроэлектрическая фаза. С приложением поля вдоль с переходы, сдвигаясь в сторону более низких температур, сближаются. Малый скачок намагниченности (рис. 4b) соответствует переориентации спинов Nd3+ и Fe3+ от оси с к плоскости с, а больший – ферромагнитному выстраиванию спинов Dy3+ вдоль поля.
![]() |
![]() |
Рис.4 Температурно-полевые зависимости намагниченности монокристалла Nd0,75Dy0,25Fe3(BO3)4 во внешнем поле Н║с. |
7. В SmFe3(BO3)4 обнаружен гигантский магнитодиэлектрический эффект, связанный с возрастанием (более, чем в 3 раза) диэлектрической проницаемости при T<TN и ее подавлением до первоначального уровня парамагнитного состояния в магнитном поле ~ 5 кЭ в базисной плоскости [16]. Установлена тесная связь этого эффекта с аномалиями в полевой зависимости электрической поляризации. Показано, что обнаруженный магнитодиэлектрический эффект обусловлен вкладом в ε электрической восприимчивости, связанной с вращением спинов в ab-плоскости, которая возникает в области антиферромагнитного упорядочения Т < TN = 33 К и подавляется магнитным полем.
![]() |
![]() |
Рис.5 Температурные зависимости диэлектрической проницаемости ферробората SmFe3(BO3)4. |
8. Одним из самых интересных и непредсказуемых эффектов в мультиферроиках оказалась анизотропия распространения света по отношению к направлению распространения. В таком случае отличается в зависимости от направления поглощение в материале, отличаются скорости света и двулучепреломление для различных направлений. В ферроборате самария-лантана обнаружена большая анизотропия направлений. Эффект наблюдается для линейной поляризации света в диапазоне миллиметровых волн, и он остается до низких частот. Дисперсию и поглощение в окресности электромагнонного резонанса можно регулировать изменением внешнего магнитного поля и даже полностью подавлять в одном направлении. Ферроборат самария-лантана показывает гигантскую оптическую активность при изменении геометрии внешнего магнитного поля, что делает этот материал универсальным инструментом для оптического контроля: с магнитным полем в качестве внешнего параметра она позволяет переключаться между двумя функционалами: вращения плоскости поляризации и направленности анизотропии [17].
![]() |
Рис.6 Анизотропия двулучепреломления, дихроизма и преломления в Sm0.5La0.5Fe3(BО3)4. (а) Коэффициент преломления в Sm0.5La0.5Fe3(BО3)4 для прямого (синий) и обратного (красный) распространения миллиметровых волн, (б) анизотропия двулучепреломления, (с) коэффициента поглощения в Sm0.5La0.5Fe3(BО3)4 при прямом и обратном распространении волн, (d) Анизотропия дихроизма. Символы: кружки -эксперимент; сплошная линия проходит в соответствии с моделью. |
Литература:
- L.N. Bezmaternykh, V.L. Temerov, I.A. Gudim and N.A. Stolbovaya, “Crystallization of Trigonal (Tb,Er)(Fe,Ga)3(BO3)4 Phases with Hantite Structure in Bismute Trimolibdate-Based Fluxes”, Crystallography Reports, v. 50, Suppl. 1, 2005, p. 97.
- Levitin R.Z., Popova E.A., Chtsherbov R.M., Vasiliev A.N., Popova M.N., Chukalina E.P., Klimin S.A., van Loosdrecht P.H.M., Fausti D., Bezmaternykh L.N., Cascade of phase transitions in GdFe3(BO3)4. Pis'ma v ZHETF. -2004. -v. 79, iss. 9, pp. 531-534.
- M. Janoschek, P. Fischer, J. Schefer, B. Roessli, and V. Pomjakushin, M. Meven, V. Petricek, G. Petrakovskii and L. Bezmaternikh, “Single magnetic chirality in the magnetoelectric NdFe3(11BO3)4”, PHYSICAL REVIEW B 81, (2010) 094429;
- Nelson, C.S , Bezmaternykh, L.N ; Gudim, I.A. Temperature- and magnetic-field-tuning of magnetic phases in multiferroic NdFe3(BO3)4 // JOURNAL OF THE KOREAN PHYSICAL SOCIETY. May 2013. V. 62. Is. 10 P.1410-1413 .
- А.М. Кадомцева1, Ю.Ф. Попов1, С.С. Кротов1, А.К. Звездин2, Г.П. Воробьев1, Л.Н. Безматерных3, Е.А. Попова1, «Исследование аномалий магнитоэлектрических и магнитоупругих свойств монокристаллов ферробората GdFe3(BO3)4 при фазовых переходах», Физика Низких Температур: Т. 31, Вып. 8-9 (2005), c. 1059-1067.
- Bezmaternykh L.N., Ovchinnikov S.G., Balaev A.D., Kharlamova S.A., Temerov V.L., Vasiliev A.D., Structural ordering and magnetism in trigonal gadolinium ferroborates, substituted by gallium. JMMM. – 2004. – v. 272-276, -suppl. 1, p. E359-E360.
- A.М. Кадомцева, Ю.Ф. Попов, Г.П. Воробьев, А.П. Пятаков, С.С. Кротов, К.И. Камилов, В.Ю. Иванов, А.А. Мухин, А.К. Звездин, А. М. Кузьменко, Л.Н.Безматерных, И.А. Гудим, В.Л. Темеров, "Магнитоэлектрические и магнитоупругие свойства редкоземельных ферроборатов", ФНТ, т.36, №6 (2010) 640-653.
- K.-C. Liang, R. P. Chaudhury, B. Lorenz, Y. Y. Sun, L. N. Bezmaternykh, V. L. Temerov and C. W. Chu, Giant magnetoelectric effect in HoAl3(BO3)4 // PHYSICAL REVIEW B 83. 2011. 180417(R)
- Irina A. Gudim, Evgeny V. Eremin, Maksim S. Molokeev, Vladislav L. Temerov, Nikita V. Volkov, Magnetoelectric Polarization of Paramagnetic HoAl3-XGaX(BO3)4 Single Crystals // Solid State Phenomena, 215(Trends in Magnetism: Nanomagnetism (EASTMAG-2013)) (2014) p.364
- R. P. Chaudhury, B. Lorenz, Y. Y. Sun, L. N. Bezmaternykh, V. L. Temerov, and C. W. Chu, “Magnetoelectricity and magnetostriction due to the rare-earth moment in TmAl3(BO3)4”, PHYSICAL REVIEW B 81, (2010), 220402
- Демидов А.А., Волков Д.В., Гудим И.А., Еремин Е.В., Темеров В.Л. Магнитные свойства редкоземельного ферробората SmFe3(BO3)4. ЖЭТФ, 2013 г., Том 143, Вып. 5, стр. 922.
- А. И. Бегунов, А. А. Демидов, И. А. Гудим+, Е. В. Еремин. Особенности магнитных и магнитоэлектрических свойств HoAl3(BO3)4. // Письма в ЖЭТФ, май 2013. том 97, вып.9, с.611–618
- L. Freydman, A. D. Balaev, A. A. Dubrovskiy, E. V. Eremin, V. L. Temerov, and I. A. Gudim, Direct and inverse magnetoelectric effects in HoAl3(BO3)4 single crystal // Journal of Applied Physics 115, 174103 (2014); doi: 10.1063/1.4874270
- А.Л. Фрейдман, А.Д. Балаев, А.А. Дубровский, Е.В. Еремин, К.А. Шайхутдинов, В.Л. Темеров, И.А. Гудим. Влияние электрического поля на намагниченность монокристалла SmFe3(BO3)4 // Физика твердого тела, 2015, том 57, вып. 7, с. 1334-1338.
- I.A. Gudim, E.V. Eremin, V.L. Temerov, “Flux growth and spin reorientation in trigonal Nd1-xDyxFe3(BO3)4 single crystals”, Journal of Crystal Growth 312 (2010) 2427–2430.
- G.A. Zvyagina, K.R, Zhekov, I.V. Bilych, A.A. Zvyagin, I.A. Gudim, V.L. Temerov, E.V. Eremin. Magnetoelastic studies of Nd0,75Dy0,25Fe3(BO3)4 in the external magnetic field: Magnetic phase transitions // ФНТ, 2013, т.39, № 11, 1202-1214.
- А.А. Мухин, Г.П. Воробьев, В.Ю. Иванов, А.М. Кадомцева, А.С. Нарижная, А.М. Кузьменко, Ю.Ф. Попов, Л.Н. Безматерных, И.А. Гудим, Гигантский магнитодиэлектрический эффект в мультиферроике SmFe3(BO3)4 // Письма ЖЭТФ. 2011. т. 93, в. 5, с. 305-311.
- A. M. Kuzmenko, V. Dziom, A. Shuvaev, Anna Pimenov, M. Schiebl, A. A. Mukhin, V. Yu. Ivanov, I. A. Gudim, L. N. Bezmaternykh, and A. Pimenov. Large directional optical anisotropy in multiferroic ferroborate. Phys. Rev. B 92, 184409 (2015).